Al2O3-SiC-C(ASC)澆注料因具有優良的抗侵蝕性和抗熱震性而被用于高爐出鐵溝和支溝等。但是ASC澆注料內部的SiC和C極容易被氧化,致使澆注料在使用過程中抗熱震性降低,從而降低其使用壽命。傳統的鐵溝澆注料是引入Si粉作為抗氧化劑以此來提高抗氧化性,進而延長其壽命。然而,添加抗氧化劑Si粉不但提高了實際生產成本,而且Si粉的生產過程能耗嚴重。我們前期的研究發現,采用少量的紅柱石微粉替代棕剛玉細粉可以顯著提高ASC澆注料的抗氧化性。這是由于紅柱石微粉在煅燒過程中生成富硅玻璃相填充堵塞氣孔,提高了澆注料的致密性,阻礙了氧氣在澆注料內部的滲透擴散,從而提高抗氧化性。如果加入紅柱石微粉在高溫下莫來石化產生的富硅玻璃有利提高ASC澆注料的抗氧化性,那么在減少抗氧化劑Si粉的含量時,澆注料也應該有比較好的抗氧化性能,因此研究加入較少的抗氧化劑Si粉可以進一步揭示對紅柱石微粉對ASC澆注料的抗氧化性的影響機制。同時,紅柱石是一種應用廣泛、儲量豐富的天然耐火材料礦物,將其微粉引入ASC澆注料中并降低抗氧化劑Si粉的添加量將有利降低澆注料成本。
1試驗
1.1原料及試驗方案
試驗原材料有:w(Al2O3)≥95%的棕剛玉骨料和細粉、w(Al2O3)≥59%的紅柱石微粉(≤0.005mm)、w(C)≥56%的球狀瀝青、w(SiC)≥97%的碳化硅顆粒和細粉、w(Al2O3)≥95%的α-Al2O3微粉、SiO2微粉、鋁酸鈣水泥(Secar71)、w(Si)≥98%的Si粉、w(Al)≥99%的金屬鋁粉。ASC澆注料的配比見表1。本試驗選用紅柱石微粉代替棕剛玉細粉,含紅柱石和不含紅柱石的澆注料分別記為B系列和M系列。Si粉加入量為0、0.5%、1.0%和1.5%時,不含紅柱石的試樣分別記為M1、M2、M3、M4,含有紅柱石的試樣分別記為B1、B2、B3、B4。按表1稱好的原料先在攪拌機中干混1min,再引入占干料質量(w)5%的水,濕混2min。在三聯模中振動成型為160mm×40mm×40mm的試樣,室溫下先養護24h后脫模,再于110℃下干燥24h后于1450℃保溫3h熱處理。ASC基質試樣的的配比見表2。本試驗選用紅柱石微粉代替棕剛玉細粉,含紅柱石和不含紅柱石的基質試樣分別記為B系列和M系列。Si粉加入量為0、4%、7%和10%時,不含紅柱石試樣分別標記為M1、M2、M3、M4,含有紅柱石試樣分別標記為B1、B2、B3、B4。按表1稱好的原料先干混1min,再引入水(水灰比為1:1),濕混2min。室溫下養護24h后脫模,再于110℃下干燥24h后于1450℃保溫3h熱處理。
表1 ASC澆注料的配比
表2 ASC基質試樣的配比
1.2性能檢測
按照GB/T2997—2000檢測試樣的顯氣孔率,按照GB/T5988—2007檢測試樣的燒后線變化,按照GB/T3001—2007檢測試樣的常溫抗折強度,按GB/T3002—2004檢測燒后試樣在1450℃保溫3h的高溫抗折強度。按YB/T3761—1995測1450℃燒后試樣的抗熱震性(風冷10次,950℃保溫0.5h),以常溫抗折強度保持率表示。此外,通過Adobephotoshop2020的像素計數方法測量熱震后試樣的氧化指數(%)(氧化面積與總截面面積的比率),以表征試樣的抗氧化性。采用德國Zeiss場發射掃描電子顯微鏡觀察澆注料試樣斷面氧化層的顯微結構。采用X射線衍射儀分析基質試樣的物相組成。
2結果與分析
2.1抗氧化性
試樣在1450℃煅燒之后及進行抗熱震測試10次之后的ASC澆注料的截面照片和氧化指數分別見圖1和圖2。圖1中黑色的區域表示未氧化的含碳層,灰色的區域表示氧化層?梢姡缓t柱石的M系列和含紅柱石的B系列,隨著Si粉含量的增加,試樣氧化層的面積逐漸減小,說明Si粉越多,抗氧化性越好。圖2中的氧化指數也印證了這一點。含紅柱石的B系列的氧化層面積總是小于相同Si粉含量的不含紅柱石的M系列,且試樣B2的氧化指數小于試樣M4的,說明引入適量的紅柱石微粉,即使低Si含量時澆注料也可以很好地提高澆注料的抗氧化性。
圖1 1450℃煅燒后及熱震10次后的澆注料試樣的橫截面圖
圖2 1450℃煅燒后及熱震10次后的ASC澆注料試樣的氧化指數
2.2物相分析
圖3為燒后基質試樣的XRD圖譜。因為澆注料中的紅柱石微粉含量很少,在澆注料的XRD中很難看出紅柱石微粉對其影響,所以實驗制作了澆注料所對應比例的基質試樣,用來表現澆注料中紅柱石微粉的影響。從圖3可知,M系列和B系列的基質試樣的物相主要為剛玉、鈣長石和莫來石。在相同的Si粉加入量下,含紅柱石的B系列試樣中的莫來石的峰明顯高于不含紅柱石的M系列。這是因為在1450℃下保溫3h后紅柱石微粉已經完全莫來石化,并且轉化生成的部分富硅玻璃相與基質中的Al2O3反應生成二次莫來石。從而使得含紅柱石的B系列試樣中的莫來石的含量高于不含紅柱石的M系列。
圖3 1450℃煅燒后基質試樣的X射線衍射圖譜
2.3常溫物理性能和顯微結構分析
1450℃燒后試樣的常溫物理性能見圖4。由圖4可看出:在相同的Si粉加入量下,含紅柱石的B系列試樣的顯氣孔率、線變化率低于不含紅柱石的M系列,其常溫抗折強度高于M系列的。因為加入的紅柱石微粉在煅燒后已經完全莫來石化(見圖3),相比于棕剛玉細粉,產生了大量的富硅玻璃相,更加均勻地分布在澆注料中,使得澆注料中基質和骨料的結合程度增加,堵塞部分氣孔,從而促進燒結。這一點也可從含1.5%(w)Si粉的試樣M4和B4經1450℃燒后的SEM照片(見圖5)中互為印證。因此,抗氧化性也得到了明顯改善。紅柱石微粉莫來石化產生的部分富硅玻璃相與Al2O3反應生成二次莫來石,所以B系列試樣的抗折強度高于M系列。
圖4 1450℃燒后試樣的常溫物理性能
圖5 1450℃燒后基質試樣的SEM照片
由圖4還可看出,隨Si粉添加量的增加,M系列試樣的顯氣孔率逐漸降低,B系列試樣的顯氣孔率先降低,再增加甚微,在Si粉加入0.5%(w)時最。M系列和B系列試樣的線變化率和常溫抗折強度隨Si粉加入量增加而逐漸增加。因為Si粉被氧化后會生成一定量的SiO2液相,促進燒結并堵塞部分氣孔。
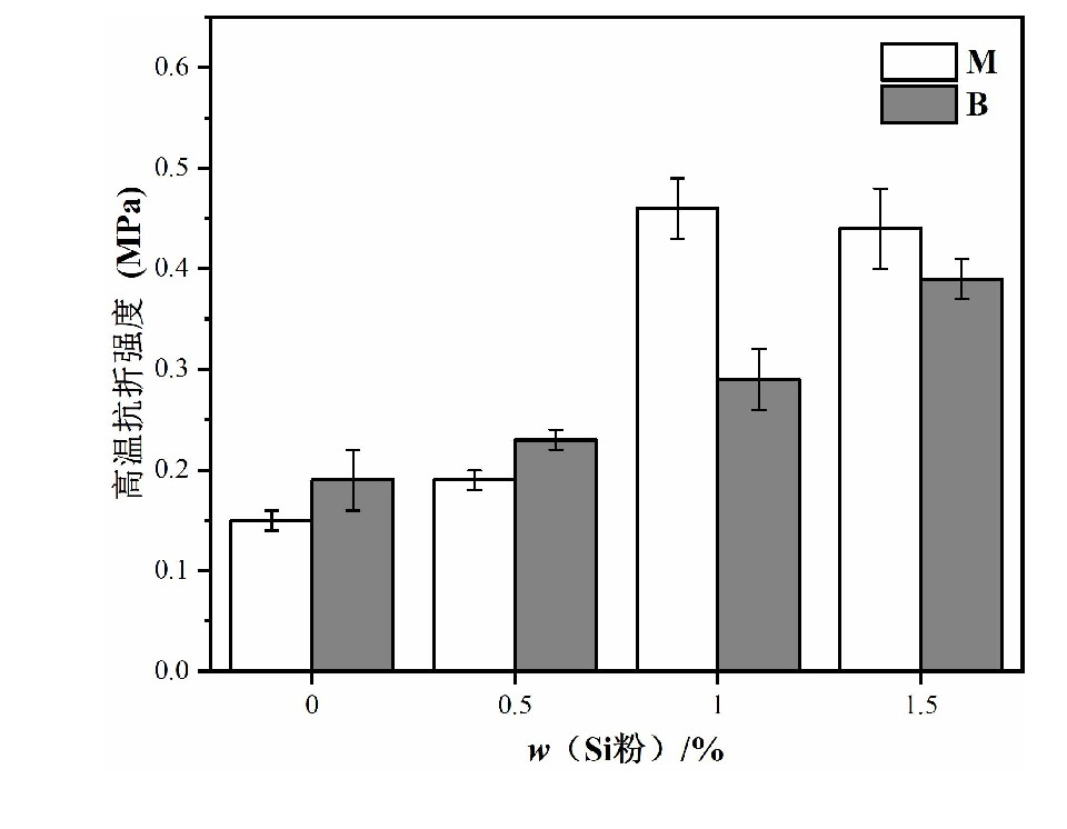
2.4高溫抗折強度
經1450℃燒后試樣的高溫抗折強度見圖6。隨Si粉添加量的增加,試樣的高溫抗折強度升高,當w(Si粉)≤0.5%時,含紅柱石的B系列試樣的高溫抗折強度高于M系列的。當w(Si粉)為1.0%~1.5%時,B系列的高溫抗折強度反而明顯低于M系列的。說明當Si粉加入量少時,紅柱石帶來的二次莫來石化占主導,使得高溫抗折強度提高。但是Si粉添加超過0.5%(w),紅柱石產生的大量富硅玻璃相和Si粉被氧化后生成的液相占主導,使得B系列試樣的高溫抗折強度明顯低于M系列。這也說明加入適量的紅柱石微粉在降低金屬硅含量的情況下,不僅不降低澆注料的抗氧化性,而且對其高溫抗折強度也有積極影響。
圖6 燒后在1450℃下ASC澆注料試樣的高溫抗折強度
2.5抗熱震性
試樣在950℃下熱震10次后的抗折強度保持率見圖7?梢,隨著Si粉添加量的增加,常溫抗折強度增加(見圖4(c)),抗熱震性改善。當w(Si粉)=1.5%時,含紅柱石微粉的B系列的抗折保持率要遠高于不含紅柱石微粉的M系列,因為澆注料的抗氧化性有明顯提高的同時,更多的SiC和C被保留下來(見圖1),因此澆注料的抗熱震性能,隨著抗氧化性能的提高而改善。不僅如此紅柱石微粉所產生的富硅玻璃相和二次莫來石(見圖3),可以吸收部分的熱應力提高韌性,進而提高了抗熱震性。
圖7 1450℃煅燒后澆注料經950℃風冷10次的抗折強度保持率
3結論
將紅柱石微粉引入澆注料中可以適量減少抗氧化劑Si粉的摻量而不降低其抗氧化性。這是因為紅柱石微粉莫來石化產生了大量的富硅玻璃相,填充和堵塞了澆注料的部分氣孔以阻礙氧氣的擴散反應。而且紅柱石微粉產生的部分富硅玻璃相還會與剛玉生成二次莫來石促進了基質和骨料的結合,提高了澆注料的致密程度。因此,將紅柱石微粉引入澆注料中,可以適量減少抗氧化劑的摻量。這不僅不會降低澆注料的抗氧化性,還會使其常溫抗折強度、高溫抗折強度和抗熱震性能也得到相應的改善。





